关闭
关注微信公众号
下载APP
我要爆料
人才
供求
房产
汽车
健康
旅游
设为首页
首页
综合
|
时事
|
经济
|
文化
|
社会
|
县区
|
影像
|
专题
当前位置: 首页
>
社会
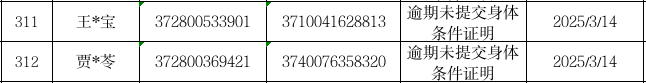
作废!临沂市车管所公告!
2025-03-18 09:57 来源: 临沂交警
3月17日
临沂市公安局车辆管理所发布公告
下列机动车驾驶证作废
相关新闻
[21时前] 征地移民!山东批复!涉及临沂!
[21时前] 临沂全市推行!免罚!
[21时前] 临沂9人上榜!山东省见义勇为模范(群体)名单发布
[21时前] 重磅批复!临沂设6座车站!
[21时前] 事关刘老根大舞台,临沂最新通告!
[21时前] 临沂4人被通报!
[21时前] 31亿!临沂大工程!公示!
[21时前] 同意!临沂设置5处!山东省政府批复
[21时前] 价格定了!临沂2地发布供暖缴费通知
[21时前] 紧急!限行、禁行!临沂这2个景区交通管制
关注临沂在线微信
关注临沂在线APP
关注临沂在线微博
微信
APP
微博
我 要 爆 料
阅读排行
[2022-11-28 10:09] 临沂市新增本土确诊病例5例、...
[2022-11-28 10:13] 最新公告!关于临沂新划定、调...
[2022-11-28 10:16] 临沂:构建综合交通大格局
[2022-11-28 08:46] 降幅12~16℃!局地小雨雪...
[2022-11-28 08:50] 山东5家省属国企招聘
[2022-11-28 10:10] 没有一个冬天不可逾越——致临...
[2022-11-28 08:57] 新规来了!车票实名制又有新变...
[2022-11-28 08:47] 收藏!恒源热力公开供热服务网...
[2022-11-28 10:35] 临沂这些道路限制通行!
[2022-11-28 09:03] 警惕!近期高发,警方提醒
最新资讯
金秋送爽迎华诞 千面红旗映罗庄
沂河新区梅家埠第八届葡萄文化旅游采摘
“科普润童心・关爱暖乐泉”选调生公益
泰华OK AI学校落地临沂,欲打造山